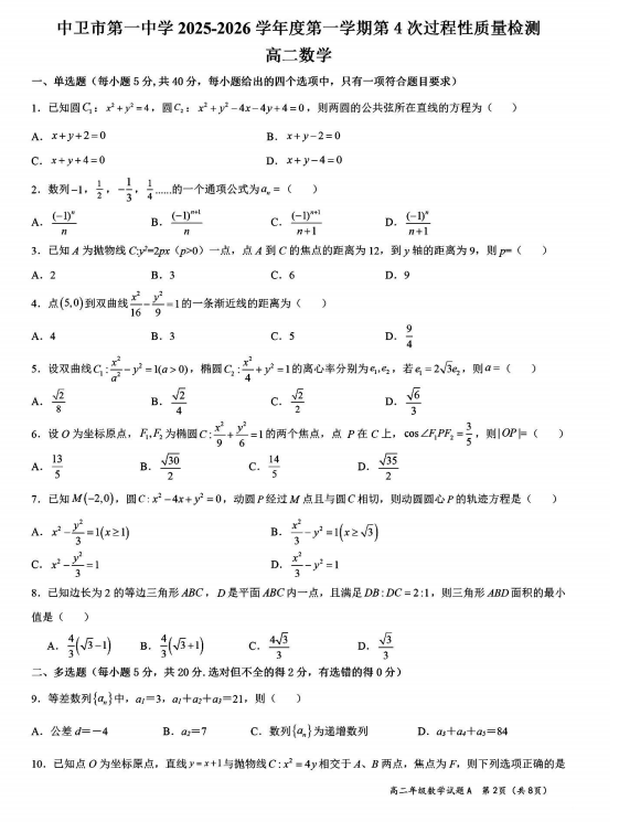
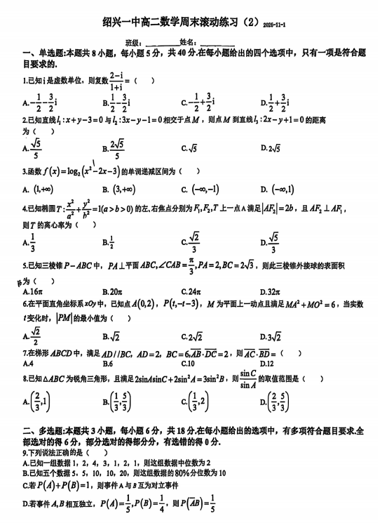
cc618资源分享

高二数学真题

0